第3階近似Stokes波

已知週期T、波高H及水深h,依下式計算第3階近似Stokes波的波形、波長、波速、波高及群速度。
1) 波形
![]()
![]()
當cosθ=1時,波形為最大值,即為波峰。
![]()
當cosθ=-1時,波形為最小值,即為波谷。

波高為
![]()
2) 波高

3) 波長

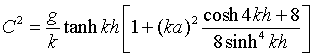
4) 波速
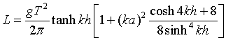
5) 群速度

2. 操作方法
1. 下載 壓縮檔,解壓縮
2. 解壓縮至適當資料夾(自行選定位置及名稱)
3. 執行 Stokes2D.exe
4. 輸入水深d(m)、週期T(sec)、波高H(m)後,確定