防波堤設置於灘線陸側碎波後作用力
1. 防波堤設置於灘線陸側碎波後作用力

如圖,直立壁位於岸線海側,波浪到達壁前已碎波時,作用於直立壁作用力,依美國
shore Protection Manual可以下列方法計算。
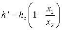
將波壓分成動壓及靜壓,直立壁處的水塊的速度及水深係如圖示以下式內插求得。


動波壓及動波力分別為


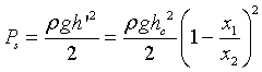
作用於壁下端的靜水壓及靜水力分別為
![]()

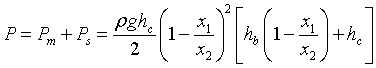
總波力為

2. 操作方法
1. 下載 壓縮檔,解壓縮
2. 解壓縮至適當資料夾(自行選定位置及名稱)
3. 執行 OnshoreBroken.exe
4. 輸入波浪條件後,確定