越波量

 

1.越波量

      

   輸入參數後請波動吧


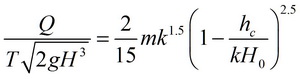
規則波越波量依下式計算 

                       

m為越流係數,k為與波頂高η(t)有關係數。 

 

2.  操作方法

 1. 下載 壓縮檔解壓縮

 2. 解壓縮至適當資料夾(自行選定位置及名稱) 

 3. 執行 Overtop.exe

 4. 輸入波浪條件後,確定