連續孤立波3維動畫(以5波為例)

    

1. 孤立波特性

 

1) 波形

            

               

2) 波速

           

3) 有效波長

          

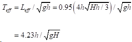
4) 有效週期

            

 

2.  操作方法

 1.  下載 壓縮檔,解壓縮

 2.  解壓縮至適當資料夾(自行選定位置及名稱) 

 3. 執行 ContiSoliton3D.exe

 4.  輸入水深d(m)、波高H(m)後,確定