兩順向Stokes波交互作用時3維動畫


1.  兩順向Stokes波合成

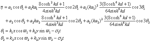
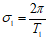
   兩順向Stokes波交互作用時波形ζ由下式計算

 

    

           

           

d為水深、ω1、ω2為各波進行方向與x軸所呈角度,k1、k2為各波週期為T1、T2時滿足分散關係式的根。

海岸水力學

2.  操作方法

 1.  下載 壓縮檔,解壓縮

 2.  解壓縮至適當資料夾(自行選定位置及名稱) 

 3. 執行 MutiStokes3D.exe

 4.  輸入水深d(m)、週期T(sec)、波高H(m)後,確定