孤立波波形及流速
1. 孤立波

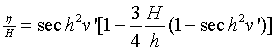
已知波高H及水深h時
1) 波形

2) 波速
3) 流速




2. 操作方法
1. 下載 壓縮檔,解壓縮
2. 解壓縮至適當資料夾(自行選定位置及名稱)
3. 執行 Soliton2D.exe
4. 輸入水深d(m)、週期T(sec)、波高H(m)後,確定