雙曲線波波形及流速
1. 雙曲線波波形及流速
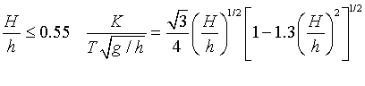
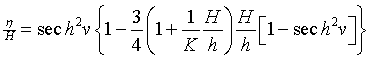
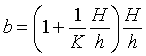
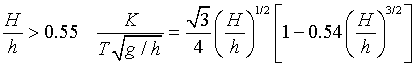
本例題應用岩垣雄一(1972)推導的雙曲線波理論計算各項特性。

已知水深h、週期T及波高H時,K可依下式計算

波長
波形

流速





靜水面位置

2. 操作方法
1. 下載 壓縮檔,解壓縮
2. 解壓縮至適當資料夾(自行選定位置及名稱)
3. 執行 Hyper2D.exe
4. 輸入水深d(m)、週期T(sec)、波高H(m)後,確定
3. 參考文獻
1.岩垣雄一、椹木享 ,海岸工學,共立出版社,pp40-43