多方向不規則海面波動時間變化
1.多方向不規則海面波動
水面波形ζ為

方向波譜S(f,θ)可以下式表示。

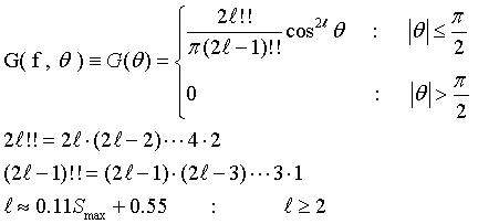
方向函數G(f,θ)≡G(θ)以下式表示

波浪集中度Smax為

頻率譜S(f)目前較被採用者有:
1. JONSWAP波譜

2. BM0波譜(Bretschneider-Mitsuyasu type)
![]()
2. 操作方法
1. 下載 壓縮檔,解壓縮
2. 解壓縮至適當資料夾(自行選定位置及名稱)
3. 執行 Muti3D.exe
4. 輸入水深d(m)、週期T1/3(sec)、波高H1/3後,確定